• 프리미엄 경제신문 이투데이
    프리미엄 경제신문 이투데이
    1. 오피니언
    2. 증권·금융
    3. 부동산
    4. 기업
    5. 글로벌경제
    6. 정치·경제
    7. 사회
    8. 문화·라이프
    9. 뉴스발전소
    10. e스튜디오

  • ~

검색결과 총1건

최신순 정확도순
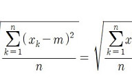
생활 속 종종 등장하는 표준편차란 무엇?…평균에서 얼마나 떨어져 있는지 알 수 있는 척도
  • 오피니언
    논현논단
    논현광장
    시론
    AI 만평
    데스크 시각
    마감 후
    칼럼
    노트북 너머
    이슈n인물
  • 증권·금융
    공시
    시황
    시세
    환율
    특징주
    투자전략
    채권/펀드
    금융
    일반
  • 부동산
    시장동향
    업계
    정책
    분양
    일반
  • 기업
    재계
    전자/통신/IT
    자동차
    중화학
    항공/물류
    유통
    의료/바이오
    중기/벤처
    일반
  • 글로벌경제
    국제경제
    국제일반
    국제시황
    미국
    중국
    아시아
    유럽/중동
  • 정치·경제
    대통령실/총리실
    정책
    국회/정당
    국방/외교
    경제
    일반
  • 사회
    사건/사고
    노동/취업
    법조
    교육
    전국
    인사/동정/부음
    오비추어리
    일반
  • 문화·라이프
    방송/TV
    영화
    음악
    공연/출판
    스포츠
    일반
  • 뉴스발전소
    이슈크래커
    요즘, 이거
    그래픽스
    한 컷
  • e스튜디오
  • 스페셜리포트
  • Channel 5
  • 위너스IR클럽
무단전재 및 수집, 복사, 재배포, AI학습 이용 금지
Copyright 2006. 이투데이. All rights reserved
회사소개 PC버전 사이트맵